地球环境所在湖泊沉积物210Pb年代学研究方面取得新进展
210Pb放射性定年法被广泛用于建立湖泊/海洋沉积物过去100-150年高分辨率年代框架,常与人工放射性核素137Cs时标相结合,以提高湖泊表层沉积物年代学的可靠性。
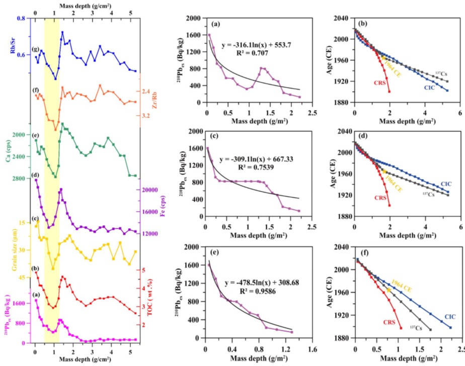
210Pb定年的基本假设是:来自大气沉降的过剩210Pb(210Pbex)相对稳定,因而其活度随着沉积深度/时间的增加呈指数衰减。然而,在实际研究工作中,由于湖泊沉积环境的复杂性,一些湖泊沉积物中210Pb活度并未遵循指数衰减规律,而表现出明显异常。在已有研究中,这种活度异常可能与沉积物-水界面的210Pb再悬浮、有机质淋洗,以及洪水、地震、滑坡等事件触发的快速沉积相关。在异常210Pb活度的情况下,年代结果的可靠性缺乏系统检验,如何在复杂沉积环境中改进210Pb定年的适用性,仍有待深入研究。
针对湖泊沉积物210Pb活度异常引起的定年问题,地球环境所气候变化集成-模拟-同化-预测团队(CLIMAP)通过分析青藏高原东南部措木及日湖表层沉积物210Pb和137Cs活度,并结合多种代用指标,提出了210Pb活度异常时的定年处理方法,并分析了其影响因素。结果表明,在剔除异常低值210Pb活度数据后,基于210Pb恒定初始浓度模型(CIC)建立年代学模式最可靠。多指标证据显示,异常低值210Pb活度很可能源于20世纪90年代初一次快速沉积事件,该事件与措木及日湖筑坝及强降水密切相关。
该成果近期在线发表在Journal of Earth Science(中科院一区TOP)上,吴小辉博士研究生为论文第一作者,蓝江湖研究员和程鹏正高级工程师为论文通讯作者。研究工作得到国家自然科学基金(42273060)、陕西省杰出青年科学基金(2024JC-JCQN-36)和国家重点研发项目(2023YFC2908600)等资助。
Xiaohui Wu, Jianghu Lan*, Peng Cheng*, Chenzhi Li, Jiansen Li, Le Wang, Rong Tian, Haoran Li, Kashif Hayat, Yu Liu. 2026. Anomalous 210Pb activity and implications for chronological reconstruction of a remote lake on the southeastern Tibetan Plateau. Journal of Earth Science. doi: 10.1007/s12583-025-0369-0
论文链接:http://en.earth-science.net/en/article/doi/10.1007/s12583-025-0369-0

图1 研究区概述。a. 措木及日湖位置 b. 岩芯CMJR20-1采样点位置 c. 措木及日湖区域月均温和月均降水

图2 CMJR20-1 (a-b,本研究) 和CM18GC-2 (c-d,He et al., 2022) 210Pb、137Cs总活度对比。

图3 左图,CMJR20-1各代理指标。右图,CMJR20-1的210Pb与137Cs定年结果。
附件下载: